阿拉善產品中心
阿拉善節能泵
阿拉善自吸泵
阿拉善磁力泵
阿拉善隔膜泵
阿拉善油泵
阿拉善化工泵
阿拉善消防泵
阿拉善螺桿泵
阿拉善排污泵
阿拉善離心泵
- 阿拉善氟塑料離心泵
- 阿拉善耐腐蝕離心泵
- 阿拉善多級離心泵
- 阿拉善單級雙吸離心泵
- 阿拉善不銹鋼離心泵
- 阿拉善管道離心泵
- 阿拉善單級單吸離心泵
- 阿拉善低轉速離心泵
- 阿拉善立式離心泵
- 阿拉善臥式離心泵
- 阿拉善玻璃鋼離心泵
阿拉善多級泵
阿拉善紙漿泵
阿拉善成套供水設備
阿拉善一體化預制泵站
阿拉善污水提升泵站
阿拉善油水分離器
新聞資訊
聯系我們
聯系人: 陳經理
手機: 152-1660-6588
電話: 152-1660-6588
郵箱: shxinzhili@126.com
地址: 上海市嘉定區春濃路312號
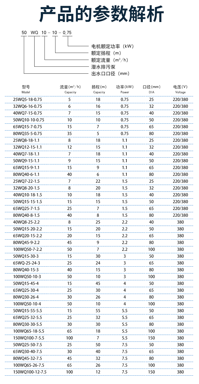
阿拉善WQ潛水排污泵
潛水排污泵價格,潛水排污泵選型,潛水排污泵廠家,潛水排污泵多少錢,WQ型潛水排污泵適用于化工、石油、制藥、采礦、造紙工業、水泥廠、煉鋼廠、電廠、煤加工工業;以及城市污水處理廠排水系統、市政工程、建筑工地等行業輸送帶顆粒的污水、污物,也可用于抽送清水及帶腐蝕性介質。
WQ潛水排污泵產品概述
WQ潛水固定式高效無堵塞排污泵采用大流道抗堵塞水力部件設計,大大提高污物通過能力,能有效地通過泵口徑的5倍纖維物質和直徑為泵口徑約50%的固體顆粒。設計合理,配套電機合理,效率高,節能效果顯著。機械密封采用雙道串聯密封,材質為硬質耐磨碳化鎢,具有耐用、耐磨等特點,可以使泵安全連續運行800小時以上。泵結構緊湊,體積小,移動方便,安裝簡便,無需建泵房,潛入水中即可工作,大大減小工程造價。泵油室內設有油水探頭,當水泵側機械密封損壞后,水進入油室,探頭發生信號,對泵實施保護。可根據用戶需要配備全自動安全保護控制柜,對泵的漏水,漏電,過載及超溫等進行監控,保證泵運行可靠安全。雙導軌自動耦合安裝系統,給泵的安裝的安裝,維修帶來了極大的方便,人可不必為此而進出污水坑。浮球開關可根據所需的水位變化。自動控制泵的停啟,無需專人看管。在使用揚程范圍內保證電機運行不過載。根據使用場合電機可采用水套式外第三者循環冷卻系統,能保證電泵在無水(干式)狀態下安全運行。安裝方式有固定式自動耦合安裝和移動式自由安裝二種,可滿足不同的使用場合。WQ型無堵塞潛水排污泵由電機與泵兩部分組成,二者通過油隔離室及機械密封組件隔開,屬機電一體化產品,電機與泵合用同一軸(轉子)整個水泵長度短,結構緊湊。配備多種保護裝置,使得泵運行可靠,其主部件作用如下:
信號線:配備全保水泵控制柜,對泵實行全方位保護;
包括漏水,斷相、短路、過熱、電機過載等項目;
電機定子:采用B級或F級絕緣。
漏水探頭:該元件裝在油室內,當機械密封損壞后;
水進入油室,探頭可發出信號由控制系統對泵實施保護。
機械密封:采用雙道串聯密封,選用新型硬質耐腐碳化鎢材質;
具有密封可靠、耐磨、壽命長等特點。
葉輪:葉輪采用單流道或雙道結構,具有很強的通過能力;
能夠通過大的物料及纖維垃圾,減少堵塞、纏繞的故障。
泵體:與葉輪配用,使得泵具有高的效率。
密封環:裝在泵體口環處,當葉輪因運行而使口環處磨損;
可更換密封環,以保證泵以最佳效率運行。
WQ潛水排污泵產品特點
1、采用獨特的單片或雙片葉輪結構,大大提高了污物通過能力,能有效的通過泵口徑5倍纖維物質與直徑為泵口徑約50%的固體顆粒。
2、機械密封采用新型硬質耐腐的鈦化鎢材料,可使泵安全連續運行8000小時以上。
3、整體結構緊湊、體積小、噪音小、節能效果顯著,檢修方便、無需建泵房;
潛入水中即可工作,大大減少工程造價。
4、該泵密封油室內設置有高精度抗干擾漏水檢測傳感器;
定子繞組內預埋了熱敏元件,對水泵電機自動保護。
5、可根據用戶需要配備全自動控制柜;
對泵的漏水、漏電、過載及超溫等進行自動保護,提高了產品的安全性與可靠性。
6、浮球開關可根據所需液位變化,自動控制泵的起動與停止,不需專人看管,使用極為方便。
7、WQ型潛水排污泵可根據用戶需要配備雙導軌自動耦合安裝系統;
它給安裝、維修帶來更大方便,人可不必為此而進入污水坑。
8、能夠在全揚程內使用,而保證電機不會過載。
9、有兩種不同的安裝方式,固定式自動耦合安裝系統,移動自由安裝。
WQ潛水排污泵主要用途
WQ型潛水排污泵適用于化工、石油、制藥、采礦、造紙工業、水泥廠、煉鋼廠、電廠、煤加工工業;以及城市污水處理廠排水系統、市政工程、建筑工地等行業輸送帶顆粒的污水、污物,也可用于抽送清水及帶腐蝕性介質。


- 上一個:沒有了
- 下一個:沒有了


客服1